当前位置:肿瘤瞭望>资讯>研究>正文

文献精读丨奥希替尼联合贝伐珠单抗一线治疗携带EGFR敏感突变的晚期NSCLC患者:一项II期随机对照研究

作者:肿瘤瞭望   日期:2022/7/3 19:42:15  浏览量:15556

肿瘤瞭望版权所有,谢绝任何形式转载,侵犯版权者必予法律追究。

对于携带EGFR敏感突变的晚期非小细胞肺癌患者,第三代TKI类药物是标准一线治疗选择之一,既往有多项研究发现,对于携带继发性T790M突变的患者,在三代药物治疗基础上进一步联合抗血管生成治疗,未能给患者带来获益,而一项单臂临床研究同样发现,在一线治疗时,三代药物治疗基础上联合贝伐珠单抗的中位PFS为19.0个月左右,与单药治疗相似。近期,来自日本学者通过一项II期随机对照研究结果发现,对于携带EGFR敏感突变的晚期非小细胞肺癌患者,给予三代TKI类药物基础上进一步联合标准剂量的贝伐珠单抗,未能给患者带来进一步获益。

对于携带EGFR敏感突变的晚期非小细胞肺癌患者,第三代TKI类药物是标准一线治疗选择之一,既往有多项研究发现,对于携带继发性T790M突变的患者,在三代药物治疗基础上进一步联合抗血管生成治疗,未能给患者带来获益,而一项单臂临床研究同样发现,在一线治疗时,三代药物治疗基础上联合贝伐珠单抗的中位PFS为19.0个月左右,与单药治疗相似。近期,来自日本学者通过一项II期随机对照研究结果发现,对于携带EGFR敏感突变的晚期非小细胞肺癌患者,给予三代TKI类药物基础上进一步联合标准剂量的贝伐珠单抗,未能给患者带来进一步获益。

 
 
这项多中心、开放标签的II期临床研究共在日本21家研究中心进行研究,纳入局部晚期或转移性或复发的非鳞、非小细胞肺癌患者,患者携带19del或21L858R突变,无症状脑转移患者允许入组,PS评分为0~1分,患者既往未接受过抗血管生成治疗或EGFR-TKI治疗。符合入组标准的患者按照1:1的比例随机分为奥希替尼单药或奥希替尼联合贝伐珠单抗治疗,贝伐珠单抗治疗剂量为15mg/kg,除体重下降因素外,研究不允许调整贝伐珠单抗的剂量,但奥希替尼不耐受的患者可进一步降低为40mg口服,研究每6周进行一次疗效评估。该研究将独立评审委员会评估的PFS作为主要研究终点,OS及ORR作为次要研究终点。
 
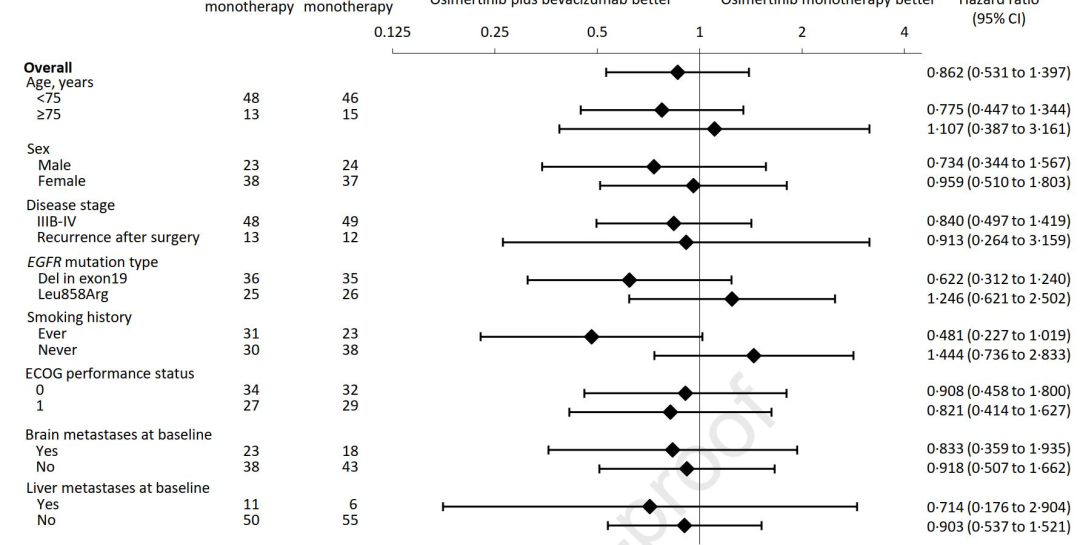
最终,研究共入组122例患者,两组均有61例患者且基线特点均衡可比。
 
至最后一次随访时,奥希替尼单药组和联合治疗组分别有27.9%和32.8%的患者仍然接受治疗。在ITT分析中,两组患者基线特点均衡可比。经过中位30.4个月的随访后,两组均有54.1%的患者出现疾病进展或死亡,中位PFS分别为20.2个月和22.1个月,HR=0.86,P=0.21。12个月PFS率分别为63.7%和73.8%,24个月PFS率分别为44.5%和49.8%。研究者评估的中位PFS分别为17.1个月和24.3个月,HR=0.80,P=0.17。基于PP集分析的数据与此类似,HR=0.86。
 
两组中位PFS
 
亚组分析发现,携带19del的患者,HR=0.62,携带21L858R突变的患者,HR=1.25,基线有脑转移的患者HR=0.83,基线无脑转移的患者HR=0.91。接受联合治疗组的患者瘤体均出现缩小,但接受单药治疗的患者,有1例出现瘤体增大,两组ORR分别为86%和82%,中位DOR分别为17.6个月和22.9个月。数据分析时,两组均有30%的患者出现OS事件,中位OS尚不成熟。
 
研究的亚组分析
 
从安全性看,联合治疗导致了更多的3度及以上不良反应发生率,其中单药治疗组和联合治疗组的3度及以上不良反应发生率分别为48%和56%。
 
因此,对于携带EGFR敏感突变的患者,一线奥希替尼治疗的基础上进一步联合贝伐珠单抗并未能改善患者预后,不支持其成为标准一线治疗。
 
Limertinib治疗继发性T790M突变的患者
 
Limertinib是一款针对EGFR通路的三代TKI类药物,近期,我国学者在JTO杂志发表了该药物治疗携带继发性T790M突变的单臂、II期临床研究结果,有望为这部分患者的治疗带来新的治疗选择。
 
前期研究发现,Limertinib及其活性代谢产物CCB4580030具有良好的抗肿瘤活性,在I期及IIa期队列扩展研究中,该药对于携带EGFR T790M突变的患者展示了良好的活性,后续推荐给药剂量为160mg,口服每日两次。随后的IIb期、单臂扩展研究在中国62家中心进行。研究纳入既往接受一代或二代TKI类药物耐药后,携带T790M突变的患者,PS评分0~2分,研究允许无症状的脑转移患者。符合入组标准的患者,接受160mg口服,每日两次的药物治疗,并每6周进行一次疗效评估。主要研究终点为独立评审委员会基于FAS集分析的ORR,次要研究终点为DCR、PFS及OS等,研究预设的ORR为55%,并预估其95%置信区间下限不得低于45%。
 
最终共有818例患者接受筛选,301例患者纳入本项研究,分别有62.1%和98.3%的患者为女性、腺癌。19del和21L858R突变的患者占比分别为61.1%和33.2%,分别有69.8%和29.9%的患者基于组织及外周血检测T790M的存在。经过中位10.4个月的随访,独立评审委员会评估的ORR为68.8%,95%置信区间下限为63.2%,未超过45%,研究达到预设的终点。基于组织和外周血检测到T790M突变的患者,接受该药治疗的ORR分别为75.6%和60.7%。全组的DCR为92.4%。
 
患者治疗后的瀑布图
 
40.1%的患者出现疾病进展或死亡事件,中位DOR为11.1个月,12个月响应持续率为46.3%,中位PFS为11.0个月,12个月PFS率为47.1%,12个月OS率为72.9%,91.7%的患者均出现瘤体缩小,82例患者因不良反应而导致剂量降低。接受标准剂量及减量治疗的患者,ORR分别为76.8%和65.8%,中位PFS分别为15.2个月和11.0个月。
 
全组患者的PFS
 
32.9%的患者有中枢神经系统转移,这部分患者的ORR、中位PFS、中位DOR分别为64.6%、9.7个月和9.6个月,41例脑转移病灶可评估的患者,其颅内ORR为56.1%,DCR为100%,颅内中位PFS为10.6个月。
 
从安全性看,全因任何级别不良反应发生率为99.3%,其中3度及以上不良反应发生率为49.8%,治疗相关任何级别不良反应发生率为96.0%,3度以上治疗相关不良反应发生率为34.6%。治疗相关的不良反应分别导致24.6%和2%的患者出现治疗中断以及永久性终止治疗。1例患者出现2度治疗相关的间质性肺炎,严重不良反应发生率为24.9%,其中9.3%的患者考虑与治疗相关。
 
Limertinib治疗携带继发性T790M突变的晚期非小细胞肺癌患者展示了良好的疗效及可接受的安全性。
 

本内容仅供医学专业人士参考


晚期非小细胞肺癌

分享到: 更多