ESMO Asia中国之声丨ctDNA甲基化是早期发现胰腺导管腺癌(PDAC)的标志物

作者:肿瘤瞭望   日期:2020/11/27 12:15:27  浏览量:18825

肿瘤瞭望版权所有,谢绝任何形式转载,侵犯版权者必予法律追究。

11月20日,在以虚拟形式召开的欧洲肿瘤内科学会亚洲年会(ESMO Asia 2020)上,北京协和医院病理科梁智勇教授牵头开展的一项研究入选大会的口头报告(MO118),

11月20日,在以虚拟形式召开的欧洲肿瘤内科学会亚洲年会(ESMO Asia 2020)上,北京协和医院病理科梁智勇教授牵头开展的一项研究入选大会的口头报告(MO118),Xiaoding Liu医生代表研究团队进行报告,分享了研究结果。

 
 
胰腺导管腺癌(PDAC)死亡率较高、生存率较低,而临床症状通常在疾病晚期才显现出来,因此肿瘤早期即明确诊断至关重要。然而,目前还没有可靠的筛查工具来识别高危患者。近年来,循环肿瘤DNA(ctDNA)甲基化逐渐成为一项新的潜在检测手段,可以将PDAC血浆与正常血浆进行区分,有助于早期筛查诊断。
 
研究设计分为标志物筛选、分析优化、模型训练和验证(图1)。在46例PDAC组织、30例PDAC旁组织和20例PDAC血浆中构建亚硫酸氢盐测序库,并通过量化和比较这些组之间基因组区域和单个CpG位点的甲基化水平,筛选PDAC特异性标志物。在84例PDAC患者和64例正常对照组的血浆样本中对标志物进行验证,从而建立一种血液分类器。最好的标志物被开发成一个靶向测序小组,对来自各种胰腺疾病患者的大量血浆样本进行测试,以建立和验证PDAC预测模型。
 
图1. 研究设计
 
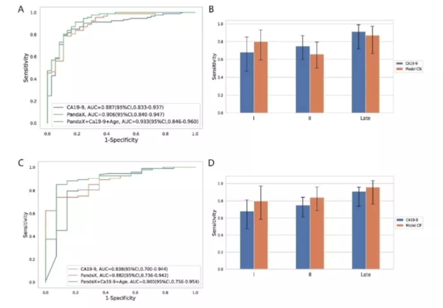
研究队列中患者的特征见图2。研究人员分析组织样本的全基因组甲基化模式来验证171个PDAC特异性标志物。利用SVM方法对PDAC分类模型进行反复训练和交叉验证,平均灵敏度为86%,特异性为88%。为了证明血浆无创检测的可行性,用这些标志物对PDAC和正常血浆进行了甲基化检测,平均灵敏度为68.4%,特异性为85.8%。为了更有效地检测,研究人员通过选出最能分辨出肿瘤和正常组织的标志物,从而构建一个标志物数量更少的亚组,并在一个含有200例血浆样本(其中包括来自多个中心的PDAC、慢性胰腺炎和正常人)的独立队列研究中对标志物亚组进行验证。当鉴别PDAC和正常人时,标志物亚组的AUC高于0.90,当鉴别PDAC和慢性胰腺炎时,AUC为0.88。(图3,图4)
 
图2. 研究队列患者的特征
 
图3. 初步模型:鉴别PDAC血浆与正常对照组和慢性胰腺炎
 
图4. 组合标志物:CA19-9和ctDNA甲基化
 
本研究通过对PDAC组织和血浆的筛选和验证,开发了一种基于二代测序的PDAC特异性DNA甲基化靶点检测方法。研究结果令人满意,可将PDAC从非恶性疾病中验证出来,作为基于血液的早期PDAC无创筛查,其具有很大的临床应用潜力。
 
来源:
118MO – X. Liu, Q. He, Z. Liang, H. Wu, et al. Circulating tumor DNA methylation are markers for early detection of pancreatic ductal adenocarcinoma (PDAC). ESMO Asia Virtual Congress 2020 (20-22 November).

本内容仅供医学专业人士参考


ESMO Asia 2020

分享到: 更多