ASH五分钟丨张苏江教授:从新药到真实世界,急性髓系白血病重磅研究进展

作者:  Cheng  Zhan   日期:2024/1/2 13:18:26  浏览量:17266

肿瘤瞭望版权所有,谢绝任何形式转载,侵犯版权者必予法律追究。

在刚刚落幕的2023年第65届ASH大会上,急性髓系白血病(AML)领域涌现了诸多创新性研究,特别是与临床实践密切相关的真实世界研究引发关注。为帮助大家更好了解和掌握近1年来AML领域的重要进展,本期《肿瘤瞭望》特邀上海交通大学附属瑞金医院张苏江教授,遴选今年ASH大会上AML领域的3项重磅研究,进行深入解读和点评。

编者按:在刚刚落幕的2023年第65届ASH大会上,急性髓系白血病(AML)领域涌现了诸多创新性研究,特别是与临床实践密切相关的真实世界研究引发关注。为帮助大家更好了解和掌握近1年来AML领域的重要进展,本期《肿瘤瞭望》特邀上海交通大学附属瑞金医院张苏江教授,遴选今年ASH大会上AML领域的3项重磅研究,进行深入解读和点评。
 
#1
Revumenib单药治疗复发/难治KMT2A重排急性白血病患者:AUGMENT-101Ⅱ期关键研究的疗效和安全性结果

目的:
 
这项关键Ⅱ期研究(AUGMENT-101)报告了Revumenib(SNDX-5613,rev)治疗复发/难治(R/R)组蛋白-赖氨酸N-甲基转移酶2A(KMT2A)重排阳性急性白血病患者的疗效和安全性。
 
方法:
 
纳入年龄≥30天的R/R KMT2A重排急性白血病患者,分为A队列[急性淋巴细胞白血病(ALL)/混合表型急性白血病(MPAL)]和B队列[急性髓系白血病(AML)];队列C继续招募伴有核糖核蛋白1(NPM1)突变患者,未包含在本次分析中。患者口服rev(163 mg;或体重<40 kg时,95 mg/m2),每12小时一次,配合强效细胞色素P450 3A4抑制剂,每28天为一个周期。治疗持续至发生不可接受的毒性反应或至少4个疗程后未达到形态学无白血病状态(MLFS)。Ⅱ期的主要目标是评估rev的安全性和耐受性以及完全缓解(CR)、CR伴有部分血液学恢复(CRh)率。关键次要终点包括复合CR(CRc)率和总缓解率(ORR)。本次对确诊R/R KMT2A重排急性白血病的成人和儿童患者进行中期分析(IA)。
 
结果:
 
截至2023年7月24日,94名R/R KMT2A重排急性白血病患者接受了≥1个剂量的研究药物并被纳入到安全性分析中(表1)。其中年龄<18岁患者23名(24.5%),年龄≥65岁13名(13.8%)。AML患者78名(占83%),ALL或MPAL患者16名(17.0%)。所有患者入组前经多线治疗,中位治疗线数为2线(1~11)。54名患者(57.4%)对末次的挽救治疗无反应,47名患者(50%)有造血干细胞移植(HSCT)史。81.9%的安全性人群报告了与治疗相关的不良事件(TRAEs)。最常见的TRAEs为恶心(27.7%)、分化综合征(26.6%)和QTc延长(23.4%)。51名患者(54.3%)观察到3级以上TRAEs(表2)。总体上,6.4%的患者因TRAEs终止治疗,没有患者因分化综合征或QTc延长终止rev治疗。
 
IA的评估人群(n=57)包括Ⅱ期所有经中心实验室确认的KMT2A重排急性白血病患者。在中位随访6.1个月时,13名患者[22.8%,95%置信区间(CI):12.7~35.8]达到CR+CRh,超过了KMT2A重排人群预先设定的IA疗效界限;成人和儿童患者的CR+CRh率相似。CR+CRh的中位持续时间为6.4个月(95%CI:3.4~未达到)。CRc率为43.9%(95%CI:30.7~57.6);ORR为63.2%(95%CI:49.3~75.6)。大多数达到CR或CRh的患者,报告了微小残留病(MRD)状态,并达到了MRD阴性(7/10,70.0%);大多数达到CRc和报告MRD的患者也达到了MRD阴性(15/22,68.2%)。36名响应者中有14名(38.9%)进行了HSCT,其中一半患者在HSCT后恢复rev治疗。
 
结论:
 
Rev在经过大量治疗的KMT2A重排急性白血病人群中展示了显著的临床疗效,包括较高的ORR和MRD阴性率以及随后的HSCT率。在IA时,这项关键性研究达到了主要终点,KMT2A重排阳性队列因疗效提前停止。
 
 
张苏江教授点评:
 
该研究入选了本次ASH的最新重磅研究(LBA),是关于新药Revumenib(rev)治疗KMT2A重排急性白血病的探讨。KMT2A重排主要见于AML,也可见于部分ALL、MPAL。KMT2A重排急性白血病发病率较高,儿童和成人急性白血病患者均会发生KMT2A重排,患者对常规化疗效果普遍较差,而且一旦成为R/R后,整体治疗结局非常差。近年来,menin-KMT2A的相互作用机制受到关注,针对该机制的国际研究较多,也开发出了针对menin的抑制剂。rev就是一种menin抑制剂。目前认为该抑制剂对KMT2A重排、NUP98重排、NPM突变的R/R AML以及其他类型白血病都是一个非常好的小分子药物,单药就可以取得很好的效果。
 
本次LBA5报道了在AUGMENT-101关键Ⅱ期研究中,接受rev治疗的R/R KMT2A重排急性白血病患者的疗效和安全性。研究共纳入94名R/R KMT2A重排急性白血病患者,入组前均接受多线治疗,中位治疗线数为2线;47名患者(50%)有HSCT史。最主要的安全性事件包括恶心、分化综合征和QTc延长。51名患者(54.3%)观察到3级以上TRAEs,没有患者因分化综合征或QTc延长终止rev治疗。在IA评估的57人中,成人和儿童患者的CR+CRh率相似。总人群CR+CRh的中位持续时间为6.4个月、CRc率为43.9%、ORR为63.2%,此外还有部分患者达到了MRD阴性。36名响应者中有14名(38.9%)进行了HSCT,其中一半患者在HSCT后恢复rev治疗。最终看到rev在既往接受多线治疗后的KMT2A重排急性白血病人群中显示出具有临床意义的结果,包括高ORR、MRD阴性率以及随后部分患者能够进入HSCT阶段。在中期分析时,这项关键性研究达到了主要终点,KMT2A重排阳性队列因达到疗效提前停止。
 
#2
阿扎胞苷和维奈克拉在AML一线治疗和复发/难治患者中的真实世界应用:来自法国Auraml组的多中心研究

目的:
 
这项多中心研究旨在评估阿扎胞苷联合维奈克拉在真实世界一线治疗AML或R/R AML患者中的疗效和安全性。

方法:
 
选取2019年1月—2023年2月法国奥弗涅-罗讷-阿尔卑斯地区(Auvergne Rhône Alpes,AURA)11个不同中心的331名AML患者,进行回顾性分析。复合完全缓解(CRc)的定义与VIALE-A试验相同。微小残留病(MRD)阴性定义为流式细胞术检测骨髓原始细胞≤10-3和/或RT-qPCR方法检测NPM1突变≤10-4。
 
结果:
 
整体队列由186名一线AML患者和146名R/R AML患者组成。在一线队列中,患者中位年龄为74.5岁(19.1~86.1岁);根据欧洲白血病网络(ELN 2022)风险分层,预后良好、中等和不良的患者比例分别为14.5%、16.7%和68.8%。原发AML、伴骨髓增生异常改变的AML(MRC-AML)、继发于MPN/MDS的AML和t-AML分别占32.4%、29.7%、23.2%和14.5%。经过6个周期治疗,中位CRc、形态学无白血病状态(MLFS)和耐药率分别为66.4%、5.4%和28.2%。预后良好与中危风险组CRc率间无显著差异。在预后不良风险组中,仅复杂核型与较低的CRc率相关(图1)。维奈克拉剂量(400 mg/d vs.100 mg/d)和每周期持续时间(28天vs.21天vs.其他)对CRc率和总生存(OS)并无显著影响。
 
中位随访7.3个月,患者中位OS为12.4个月(95%CI:3.4~18.5)。不同ELN 2022风险组OS间无显著差异(图2)。在预后不良组中,仅不利核型患者OS较差(中位OS:4.9个月),而伴有继发性AML突变患者的OS与预后良好/中危风险组相似(19.5 vs.20.2 vs.18.2个月,P=0.32)。在前6个周期的任何时间达到MRD阴性与更好的OS相关(26.1 vs.10.3个月,P<0.001)。在122名响应者中,22名患者在中位5个周期(1~17)后停用维奈克拉,同时继续阿扎胞苷,主要由于无法耐受血液毒性。无复发生存期(RFS)在停药患者与持续用药至疾病进展的患者之间相似。在多因素分析中,仅ECOG评分(连续变量,HR=1.52,P=0.04)、IDH状态(WT vs.MUT:HR=3.13,P=0.04)、正常核型(是vs.否,HR=0.25,P=0.04)和CR类型(CRMRD-vs.其他,HR=0.21,P=0.001)显著影响OS,而ELN 2022风险分层则不影响OS。在复发/难治队列中,CRc率为43.8%,OS为7.9个月;与初治队列一样,维奈克拉剂量和每周期持续时间并未显著影响CRs率和OS。
 
不良反应方面,发热性中性粒细胞减少症(FN)在第1、2和3周期中的发生率分别为52.9%、35.1%和27.1%。治疗相关死亡率(TDR)在2020年前为16.6%,在2021年为8.6%,在2022年至2023年为6.25%(P=0.01)。第1周期住院或门诊管理并未影响FN发生率。使用抗真菌药物预防并未显著影响FN发生率。在第1周期中,更短的维奈克拉持续时间方案(<21天/周期)与较低的FN率相关(41.5 vs.54.8%,P=0.042)。
 
结论:
 
在这项真实世界研究队列中,我们的结果表明,一线阿扎胞苷联合维奈克拉方案治疗患者的预后主要由深层反应驱动。替代性阿扎胞苷联合维奈克拉方案与较低的缓解率和OS无关,而在第1周期中减少维奈克拉暴露可能降低FN发生率,而不会对CR率产生显著影响。TDR随时间的减少可能与医生对阿扎胞苷联合维奈克拉剂量方案和支持性治疗管理技能的提高有关。我们将在ASH会议上展示包括更多患者和更长随访的数据更新。
 
 
张苏江教授点评:
 
这项来自法国Auraml组的多中心研究,旨在探讨真实世界中阿扎胞苷与维奈克拉联合治疗,在AML一线治疗和复发/难治患者中的应用。阿扎胞苷联合维奈克拉作为标准治疗方案,在近几年的临床实践中,积累了大量经验。然而,在临床实践中该方案的使用方法可能不同于临床试验或说明书中推荐的用法。这项研究探讨了该联合方案在法国11个不同中心真实世界中的具体应用。共纳入331名AML患者,其中186名一线AML患者和146名R/R AML患者。总体患者年龄偏大,预后不良患者占比较高。经过6个周期治疗,中位CRc率为66.4%,MLFS为5.4%,总体70%以上患者可达到控制。根据ELN 2022风险分层的预后良好与中危风险组CRc率间无显著差异;在预后不良风险组,仅复杂核型与较低的CRc率有关。这传递出的关键信息是,维奈克拉剂量和每周期持续时间并未显著影响CRc率和OS,提示临床在开始治疗或后期治疗阶段,如因考虑毒性反应,可将维奈克拉的剂量和应用时间进行调整。
 
此外,根据ELN 2022风险分层,不同风险组OS间亦无显著差异。仅在预后不良风险组中,不利核型患者的OS较差。其中一个重要信息是,继发性AML的OS与预后良好/中危风险组相似,提示该联合方案可克服继发性AML的不良预后。在前6个周期的任何时间达到MRD阴性与较好的OS相关。在响应者中,一部分患者停用维奈克拉,主要由于无法耐受血液毒性。这也突出了在真实世界中探讨维奈克拉剂量和应用时间的必要性。血液学不良反应主要为FN等,应用抗真菌药物并未显著改善FN的发生率。在第1周期中,更短的维奈克拉持续时间方案(<21天/周期)与较低的FN率相关。总之,该研究表明维奈克拉在实际应用中可通过缩短应用时间或减少剂量,来减少毒副作用,而并不影响疗效。通过阿扎胞苷与维奈克拉联合治疗,可克服患者基线时的不良预后,从而给患者OS带来更加显著的改善。
 
#3
维奈克拉联合去甲基化药物治疗301名新诊断急性髓系白血病患者的生存和预后

目的:
 
本研究的目标是确定能够预测接受维奈克拉-去甲基化药物(Ven-HMA)治疗的初治AML患者治疗反应和生存结局的危险因素。
 
方法:
 
经机构审查委员会批准,研究人群来自梅奥诊所2018年11月至2023年4月期间在临床试验外接受Ven-HMA治疗的新诊断AML患者的医疗记录。所有患者采用常规核型分析和二代基因测序技术分别进行细胞遗传学和分子学研究。根据2022年ELN标准评估患者的疗效反应。
 
结果:
 
患者特征:共301名新诊断的AML患者(中位年龄73岁,66%为男性,62%为原发AML),接受了中位3个周期(1~48)的阿扎胞苷75 mg/m2(第1~7天,n=100)或地西他滨20 mg/m2(第1~5天,n=201)联合维奈克拉治疗。ELN 2022风险分组包括预后良好(1%,n=4)、预后中等(61%,n=184)或预后不良(38%,n=113)。各种基因突变发生率分别为:TP53为77/301(25%)、ASXL1为54/279(19%)、RUNX1为54/296(18%)、NPM1为44/299(15%)、DNMT3A为40/296(13%)、K/NRAS为41/296(14%)、IDH1为20/301(6%)、IDH2为30/301(10%)、FLT3-ITD为25/301(8%)、DDX41为9/247(4%)。
 
治疗反应的预测因素:共182名(60%)患者获得完全缓解(CR)或CR伴血细胞计数未恢复(CRi),其中CR占36%,且77%患者(n=105例)实现了流式细胞术检测的微小残留病(MRD)阴性。患者首次获得CR/CRi的中位时间为1.4个月。在治疗反应的单因素分析中,CR/CRi更可能出现在NPM1突变(86%vs.56%;P<0.01)、IDH2突变(80%vs.58%;P=0.02)、DNMT3A突变(78%vs.57%;P=0.01)或DDX41突变(100%vs.58%;P<0.01)存在的情况下,以及不伴有不利核型(71%vs.42%;P<0.01)、TP53突变(67%vs.40%;P<0.01)、FLT3-ITD突变(63%vs.36%;P=0.01)或RUNX1突变(64%vs.44%;P=0.01)的情况下。在多因素分析中,预后不良染色体核型(P<0.01)、FLT3-ITD(P<0.01)、RUNX1突变(P<0.01)、NPM1突变(P=0.03)、IDH2突变(P=0.04)和DDX41突变(P=0.01)仍然与CR/CRi率显著相关。
 
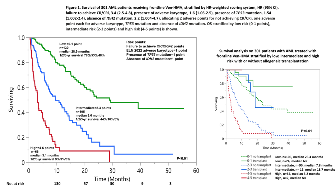
生存的预测因素:中位随访8.5个月(0.5~56个月),共记录174(58%)例死亡、73次复发(其中40%患者曾达到CR/CRi)和41次(14%;包括35例CR/CRi)异基因造血干细胞移植(AHSCT)。在治疗前变量的单因素分析中,血小板计数<100×109/L(HR 1.5,95%CI:1.03~2.2;P=0.03)、预后不良核型(HR 2.8,95%CI:2.1~3.8;P<0.01)、TP53突变(HR 2.5,95%CI:1.8~3.5;P<0.01)或IDH2突变缺失(HR 3.5,95%CI:1.7~7.6;P<0.01)与较差的生存相关。未能达到CR/CRi(HR 4.5,95%CI:3.3~6.1;P<0.01)也与较差的生存相关;在多因素分析中,未能达到CR/CRi(HR 3.4,95%CI:2.5~4.8;P<0.01)、存在预后不良染色体核型(HR 1.6,95%CI:1.1~2.6;P=0.02)、TP53突变(HR 1.6,95%CI:1.002~2.4;P=0.04)和IDH2突变缺失(HR 2.2,95%CI:1.004~4.7;P=0.04)为OS的不良预后因素。根据HR加权评分建立的危险分层分为三层:低风险(0~1分;n=130)、中风险(2~3分;n=105)和高风险(4~5分;n=66),中位生存期(3年率)分别为28.9(48%)、9.6(6%)和3.1(0%)个月(P<0.01)(图)。AHSCT对生存有独立的有利影响(HR 0.3,95%CI:0.1~0.6;P<0.01):在低风险(P=0.04)和中风险(P<0.01)中最为明显,而在高风险中则不明显(P=0.06)。
 
结论:
 
在这项单中心Ven-HMA治疗新诊断AML的系列研究中,患者对Ven-HMA的治疗反应是其生存的最主要预测因素。与生存相关的其他危险因素包括预后不良染色体核型、TP53突变的存在和IDH2突变缺失。这些观察结果支持以CR/CRi为基础,联合遗传学指标的生存预测模型,同时也证实AHSCT能够改善患者生存,无论患者的风险分层如何。
 
 
张苏江教授点评:
 
这项来自梅奥诊所的回顾性研究,分析了在真实世界中Ven-HMA的疗效、生存和预后情况。研究希望能够识别出对治疗有反应的患者,从而让更多患者能够进入这样的治疗队列中。研究回顾性分析了2018年11月至2023年4月期间在临床试验外接受Ven-HMA治疗的301名新诊断AML患者。去甲基化药物包括两种:阿扎胞苷标准治疗方案和地西他滨标准治疗方案。根据ELN 2022风险分层,预后良好患者仅占1%,大部分是预后中等患者(占61%),预后不良患者占38%。此外,从基因突变角度,TP53突变比例较高(占1/4)。
 
治疗结果从两个方面来看:(1)治疗反应的预测因素:单因素分析显示,NPM1突变、IDH2突变、DNMT3A突变、DDX41突变,以及不伴有不利核型、TP53突变、FLT3-ITD突变、RUNX1突变,对CR更有利;多因素分析显示,预后不良染色体核型、FLT3-ITD、RUNX1突变、NPM1突变、IDH2突变和DDX41突变仍与CR/CRi率显著相关。(2)生存的预测因素:在治疗前变量的单因素分析中,血小板计数低于正常值、预后不良核型、TP53突变、IDH2突变缺失以及未能达到CR/CRi与较差的生存相关;在多因素分析中,未能达到CR/CRi、存在预后不良染色体核型、TP53突变和IDH2突变缺失为OS的不良预后因素。根据HR加权评分建立的危险分层分为三层:低风险、中风险和高风险,各自占比不同,中位生存期也明显不同。需要特别说明的是,尽管AHSCT对生存有独立的有利影响,但在高风险组AHSCT不能显著改善预后。
 
该研究表明,患者对Ven-HMA的治疗反应是其生存的最主要预测因素,换言之无论初始基线状态如何,只要通过初始治疗达到控制,患者的生存就能得到显著改善。与生存相关的其他危险因素包括预后不良染色体核型、TP53突变和IDH2突变缺失。这些结果进一步支持动态观察达到CR/CRi为基础联合遗传学指标的生存预测模型,也进一步证实AHSCT能够改善患者生存。
 
张苏江
上海交通大学医学院附属瑞金医院国家转化医学中心(上海)主任医师
中华医学会血液分会白血病淋巴瘤学组副组长,中华血液学杂志通讯编委,白血病淋巴瘤杂志编委,中国老年医学学会血液学分会常委,中国老年医学学会血液学分会白血病学术委员会副主任委员,中国抗癌协会血液肿瘤专家委员会委员,CSCO白血病专家委员会常委,CSCO淋巴瘤专家委员会委员。发表中英文文章数十篇,主持国家自然科学基金及省部级课题多项,获省部级科研奖励多项。

 

 

 

 

 

 

本内容仅供医学专业人士参考


白血病

分享到: 更多