ASH 2023丨克晓燕、胡凯教授团队:多方面优化CAR-T治疗难治性/复发性B细胞淋巴瘤的探索

作者:肿瘤瞭望   日期:2023/12/27 11:02:35  浏览量:12506

肿瘤瞭望版权所有,谢绝任何形式转载,侵犯版权者必予法律追究。

嵌合抗原受体(CAR-T)细胞疗法的出现改变了复发/难治性B细胞淋巴瘤的治疗格局,成为其关键治疗方式。然而,目前在该治疗方面仍存在一些亟待解答的问题,比如CAR-T与自体造血干细胞移植(ASCT)联合治疗是否可以进一步提高患者生存;对因先前治疗导致淋巴细胞功能受损进而无法接受CAR-T治疗的患者,是否可以通过提前收集和冷冻保存外周血单核细胞(PBMCs)等策略来改善;以及CAR-T治疗在老年患者中的表现如何等。在第65届美国血液学会(ASH)年会上,高博医学(血液病)北京研究中心北京高博博仁医院克晓燕、胡凯教授团队报告的多项研究,围绕这些问题进行了深入探讨,为优化CAR-T治疗难治性/复发性B细胞淋巴瘤带来参考。

编者按:嵌合抗原受体(CAR-T)细胞疗法的出现改变了复发/难治性B细胞淋巴瘤的治疗格局,成为其关键治疗方式。然而,目前在该治疗方面仍存在一些亟待解答的问题,比如CAR-T与自体造血干细胞移植(ASCT)联合治疗是否可以进一步提高患者生存;对因先前治疗导致淋巴细胞功能受损进而无法接受CAR-T治疗的患者,是否可以通过提前收集和冷冻保存外周血单核细胞(PBMCs)等策略来改善;以及CAR-T治疗在老年患者中的表现如何等。在第65届美国血液学会(ASH)年会上,高博医学(血液病)北京研究中心北京高博博仁医院克晓燕、胡凯教授团队报告的多项研究,围绕这些问题进行了深入探讨,为优化CAR-T治疗难治性/复发性B细胞淋巴瘤带来参考。
 
#1
自体干细胞移植联合CAR-T治疗难治性/复发性B细胞淋巴瘤的疗效和安全性

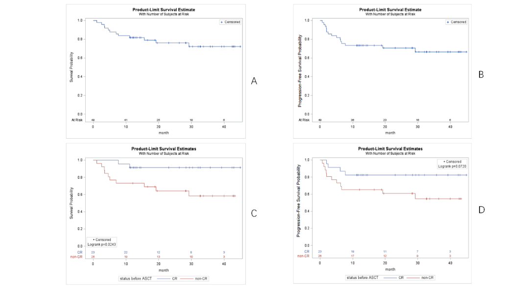
目的:探讨ASCT-CART治疗R/R B细胞淋巴瘤的有效性和安全性,并比较接受ASCT-CART治疗前的疾病状态对患者生存的影响。
 
方法:从2019年10月至2022年10月,共纳入49例R/R B细胞淋巴瘤患者。其中,43例(87.8%)为III~IV期,22例(44.9%)为GCB亚型。既往接受过中位数为7(3~14)个周期的治疗,其中8例(16.3%)患者既往接受过放疗,20例(40.8%)患者既往接受过其他靶点CAR-T治疗。评估患者在ASCT-CART治疗前的疾病状态,完全缓解(CR)23例,部分缓解17例,疾病稳定3例,疾病进展6例。自体干细胞于D0输注,CAR-T细胞于D1输注。
 
结果:治疗后3个月疗效评价显示,客观缓解率(ORR)为81.6%(40/49),完全缓解率(CRR)为77.6%(38/49)。中位随访23.1个月后,中位总生存期(OS)尚未达到,1年OS率为81.6%,2年OS率为76%,3年OS率为72.3%(图1A)。中位无进展生存期(PFS)尚未达到,1年PFS率为73.5%,2年PFS率为70.5%,3年PFS率为66.6%(图1B)。≥3级细胞因子释放综合征(CRS)和免疫效应细胞相关神经毒性综合征(ICANS)的发生率分别为22.4%(11/49)和4.1%(2/49)。
 
对于在ASCT-CART治疗前获得CR的患者(CR组),3个月疗效评价显示,ORR和CRR分别为91.3%(21/23)和87.0%(20/23)。而ASCT-CART治疗前未获得CR患者(非CR组)的ORR和CRR分别为73.1%(19/26)和69.2%(18/26)。CR组的3年OS率和3年PFS率分别为91.3%和82.6%(图1C、D),而非CR组的3年OS率和3年PFS率分别为58.6%和54.6%(图1C、D)。CR组患者的OS(P=0.0243)和PFS(P=0.0720)显著延长。
 
图1.整体人群OS(A)和PFS(B);
ASCT-CART治疗前CR组和非CR组OS(C)和PFS(D)
 
结论:ASCT-CART治疗晚期R/R B细胞淋巴瘤可提高其缓解率和长期疗效,且安全性可控。在ASCT-CART治疗前处于缓解状态的患者,在接受ASCT-CART细胞治疗后能够获得更持久的缓解。
 
#2
冷冻保存与新鲜采集的PBMCs培养制备CAR-T细胞治疗DLBCL患者的安全性和有效性对比研究

目的:这项回顾性研究比较了使用冷冻保存与新鲜采集的PBMCs培养制备CD19 CAR-T细胞治疗弥漫性大B细胞淋巴瘤(DLBCL)患者的安全性、有效性和不良反应。
 
方法:2019年1月至2023年4月,共纳入162例接受CD19-CD3zeta-4-1BB CAR-T细胞治疗的R/R DLBCL患者,排除同时接受自体干细胞移植的患者。中位年龄为52岁(15~78岁),大多数(87.7%)患者为III~IV期。中位淋巴瘤国际预后指数(IPI)评分为2分(范围0~5),71.0%(115/162)为结外病变,18.0%(29/162)为>7 cm的大包块病变。其中,136例患者接受的CAR-T细胞来源于冷冻保存的PBMCs,这些PBMCs使用可控速率冷冻机和CryoSure-DEX40冷冻保护剂进行冷冻,并储存在液氮的液相中。其余26例患者接受的CAR-T细胞是用新鲜采集的淋巴细胞直接培养的,没有经过任何冷冻保存。所有患者的CAR-T细胞都是在制造后新鲜输注的。
 
该研究主要探讨CAR-T细胞输注剂量(达到2×106个细胞/kg)、CAR-T细胞体内扩增以及CAR-T细胞在体内的持久性。次要目的包括评估总生存期(OS)、无进展生存期(PFS)、3个月完全缓解(CR)率和客观缓解率(ORR)。同时记录细胞因子释放综合征(CRS)、免疫效应细胞相关神经毒性综合征(ICANS)的发生率和细胞因子水平。
 
结果:冷冻保存组和新鲜采集组的基线特征在年龄、性别、IPI评分≥3分、美国东部肿瘤协作组(ECOG)评分≥3分、结外病变方面无显著差异(均P>0.05),而低温保存组的大包块病变发生率更高(20.6%vs.3.85%,P=0.049)。CAR-T细胞扩增的指标,包括达到2×106个细胞/kg的输注剂量基准(46.1%vs.44.9%,P=0.90)、体内CAR-T细胞持续时间(中位持续时间:两组均为21天,P=0.48)和淋巴细胞中CART19细胞的峰值比例(中位峰值:49.6%vs.35.2%,P=0.41),在新鲜采集组和冷冻保存组之间均无显著差异。对CAR-T治疗安全性的评估显示,两组≥3级ICANS和CRS发生率,以及细胞因子(包括干扰素γ、IL-6、IL-10、可溶性CD25和TNFα)的峰值水平没有显著差异(均P>0.05)。两组的临床疗效指标(3个月CR率和ORR、1年OS率和PFS率)相似,CR率(46.2%vs.45.5%),ORR(69.2%vs.61.9%),1年OS率(75.4%vs.64.1%,图1)和1年PFS率(52.1%vs.44.5%,图2)差异均无统计学意义(均P>0.05)。
 
图1.冷冻保存组与新鲜采集组的OS结果
 
图2.冷冻保存组与新鲜采集组的PFS结果

结论:本研究证实,冷冻保存PBMCs对R/R DLBCL患者接受CD19 CAR-T治疗的安全性和有效性没有显著影响。这些发现拓展了CD19 CAR-T治疗DLBCL患者的治疗灵活性和可及性。
 
#3
ADL量表对于CAR-T治疗70岁以上老年B-NHL患者有生存预测价值

目的:评估CAR-T细胞治疗老年r/r B-NHL患者的疗效,包括缓解率、无进展生存(PFS)、总生存(OS)以及影响生存的因素。
 
方法:截至2023年4月1日,研究共纳入80例r/r B-NHL患者,并分为年龄65~70岁组(n=57)或年龄>70岁组(n=23)。诊断包括DLBCL NOS(n=58)、HGBCL(n=6)、TFL(n=6)、Richter(n=4)和其他(n=6)。患者基线特征如表1所示。所有患者都接受过重度预处理。71/80(88.75%)患者处于III~IV期。中位IPI评分为3分(范围1~5)。8/96(10%)患者经历过自体造血干细胞移植(HSCT)失败。65~70岁和>70岁组的中位ADL量表评分均为95分。47.5%的患者在CAR-T细胞治疗前接受了桥接治疗(BT)。不同年龄组的基线数据无显著差异。
 
表1.患者基线特征

结果:选择CD19靶点或CD19/CD22双靶点进行CAR-T治疗的患者数分别为67例和13例。65~70岁和>70岁组CAR-T细胞输注的中位剂量分别为1.3(范围0.0485~9.5)和1.6(范围0.088~3.91)(×106/Kg)(P=0.9618)(表2)。
 
表2.CAR-T治疗情况及不良反应
 
两组≥3级细胞因子释放综合征(CRS)发生率无明显差异(P=0.6221)。>70岁组CRS患者使用糖皮质激素治疗的比例高于65~70岁组,但差异无统计学意义(P=0.0957)。65~70岁组和>70岁组分别有61.4%(35/57)和60.7%(14/23)患者病情缓解(P=0.9646),完全缓解率分别为36.8%(21/57)和34.8%(8/23)(P=0.8623)。中位随访8.05个月(95%Cl:10.27-15.20),65~70岁组和>70岁组12个月OS率分别为54.6%(95%Cl:39.3%~67.6%)vs.72.1%(95%Cl:43.9%~87.8%),12个月PFS率分别为32.8%(95%Cl:19.8%~46.5%)vs.32.9%(95%Cl:13.5%-54%),不同年龄组的OS(P=0.0623)和PFS(P=0.6327)无显著差异。相比之下,年龄>70岁/ADL<95患者的12个月OS率显著短于65~70岁/ADL≥95(55.2%,95%CI:35.5%~71.1%)、65~70岁/ADL<95(40.5%,95%CI:14.2%~59.9%)和>70岁/ADL≥95(85.6%,95%CI:52.5%~96.3%)的患者(图1,P=0.0069)。构成OS预后工具的三个负面因素为:低ADL评分(P=0.0124)、高IPI评分(P=0.0029)和结外病变(P=0.0143)。
 
图1.ADL评分≥95或<95的不同年龄组老年患者CAR-T治疗后的总生存结果
 
结论:本研究数据表明,CAR-T细胞疗法在70岁以上患者中的安全性和有效性与65~70岁的患者无明显差异。ADL评分低于95分的老年患者接受CAR-T治疗后生存率较低,尤其是70岁以上的患者。不过,目前仍需探索根治性治疗方法以及长期的随访研究。

 

本内容仅供医学专业人士参考


淋巴瘤

分享到: 更多