当前位置:肿瘤瞭望>资讯>快讯>正文

乳腺癌新辅助化疗后残留癌症负荷和长期生存结果的关系

作者:肿瘤瞭望   日期:2023/12/20 17:26:16  浏览量:11210

肿瘤瞭望版权所有,谢绝任何形式转载,侵犯版权者必予法律追究。

新辅助化疗的病理完全缓解(pCR)定义为乳腺和腋窝无残留侵袭性疾病,与改善长期生存结果密切相关。CTNeoBC荟萃研究证实,新辅助治疗后达pCR的患者改善了无事件生存期(EFS)和总生存期(OS),在高增殖肿瘤患者中具有最大的预后价值。因此,2012年1月4日,美国食品和药物管理局(FDA)和欧洲药品管理局(EMA)发布了初步指南,将pCR作为加速批准乳腺癌新辅助化疗新药的监管终点。

编者按:新辅助化疗的病理完全缓解(pCR)定义为乳腺和腋窝无残留侵袭性疾病,与改善长期生存结果密切相关。CTNeoBC荟萃研究证实,新辅助治疗后达pCR的患者改善了无事件生存期(EFS)和总生存期(OS),在高增殖肿瘤患者中具有最大的预后价值。因此,2012年1月4日,美国食品和药物管理局(FDA)和欧洲药品管理局(EMA)发布了初步指南,将pCR作为加速批准乳腺癌新辅助化疗新药的监管终点。
 
20世纪70年代后期,新辅助化疗诞生,用于局部晚期不能手术的乳腺癌患者的治疗。与辅助治疗相比,术前新辅助治疗可以缩小肿瘤体积并降低患者肿瘤分期,从而允许患者进行更多的乳房和腋窝手术,这也为患者的治疗提供了重要的预后信息。残留癌症负荷(RCB)评分于2007年首次提出,旨在通过提供一套标准方法来评估和量化新辅助化疗后乳腺和腋下淋巴结残留疾病的程度,从而解决这些缺陷产生一个连续的分数。但RCB的预后价值尚未在大型研究中被证实,且各分子亚型中RCB的预后价值是否存在差异也有待证实。Lancet Oncol发表过一项5161名患者的数据分析,证实了新辅助化疗RCB评分可预测所有亚型患者的长期预后。
 
 
既往研究已经验证了新辅助化疗后残留癌症负荷(RCB)的预后相关性。此次汇总分析使用了几个独立队列的患者数据结果,来评估RCB与乳腺癌不同亚型长期预后的关系,以分析其在广泛的实践环境中的普遍性。
 
在这项汇总分析中,通过与现场调查人员的沟通,确定了欧洲和美国12个研究所和相关临床试验(4项随机对照试验、8项队列研究),其中包括1994年9月12日至2019年2月11日接受新辅助化疗的5161名患者的数据。2019年11月,我们从接受新辅助化疗和手术治疗的原发性Ⅰ~Ⅲ期乳腺癌患者(18岁)中获得了参与者的RCB结果、临床和病理分期、肿瘤亚型和分级、治疗和随访数据。研究者使用混合效应Cox模型,结合随机RCB和队列效应,评估了连续RCB评分与主要研究结局(无事件生存率)之间的相关性,以解释研究之间的异质性,并分层以解释激素受体状态和HER2状态定义的不同癌症亚型的基线风险差异。
 
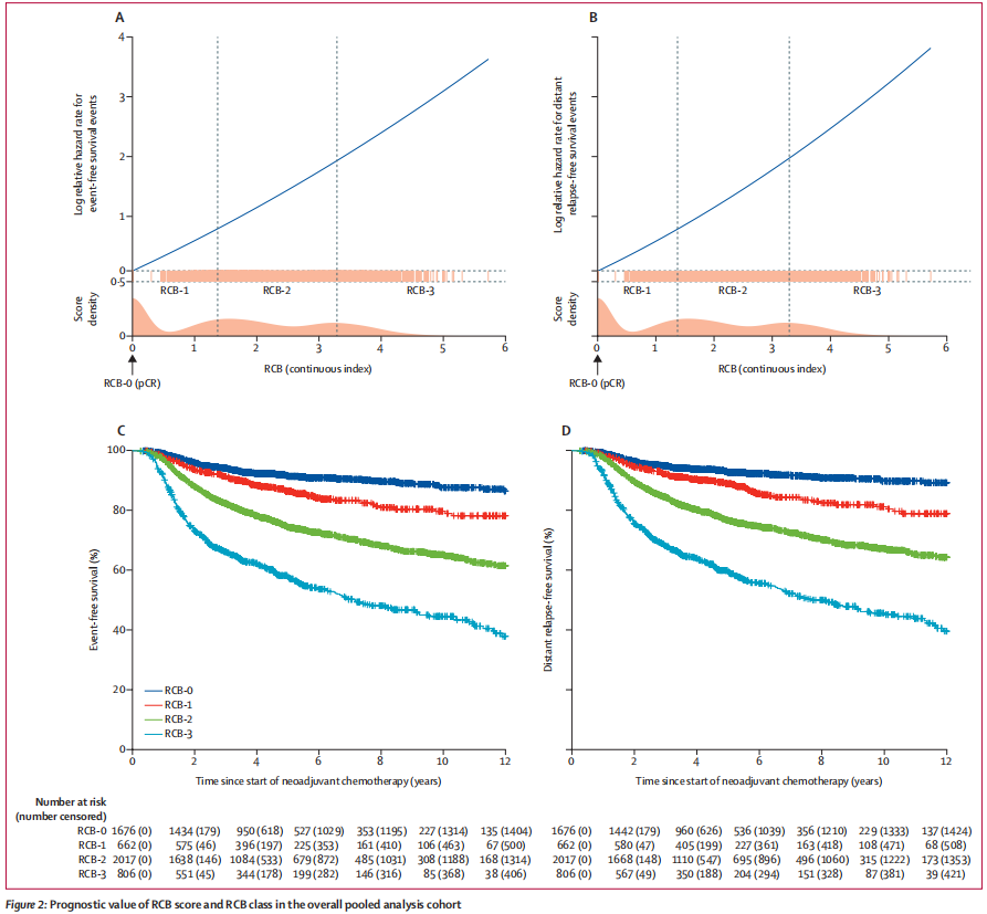
在多变量分析中,结合随机RCB和队列效应以及年龄和治疗前临床T分类、淋巴结状态和肿瘤分级的调整,进一步评估每个乳腺癌亚型之间的相关性。Kaplan-Meier对每个亚型中每个RCB类别的3年、5年和10年无事件生存(EFS)率进行了估计。
 
患者的中位年龄为49岁(IQR:20~80)。随访中出现1164例EFS(中位随访56个月[IQR:0~186])。RCB评分对每个乳腺癌亚型都有预后意义,在总体人群中,单变量分析显示,RCB评分的增加与较差的EFS和远期无复发生存(DRFS)显著相关,EFS率和DRFS率的相对危险度随RCB评分的增加而增大,与总人群呈近线性关系(图2A、2B)。在每个参与队列中都观察到RCB评分与EFS和DRFS类似的关联。
 
 
RCB每增加一个单位,相关的单变量复发/死亡危险比(HR)均有增加:HR+/HER2-患者增加1.55倍(95%CI:1.41~1.71);HR-/HER2+患者增加2.16倍(95%CI:1.79~2.61)(无论有无HER2靶向治疗;所有亚型P<0.0001)。
 
在根据年龄、分级、T分期和基线淋巴结状态调整后的多变量模型中,RCB评分仍然是EFS的预后评价指标:调整后患者复发/死亡风险仍然显著较高。HR+/HER2-患者的风险比:1.52(95%CI:1.36~1.69);HR-/HER2+患者的风险比:2.09(95%CI:1.73~2.53)(所有亚型P<0.0001)。
 
 
研究结果表明,RCB评分及其分类是各种乳腺癌亚型的独立预后因素,并可推广到多种临床实践环境。尽管不同患者在激素受体亚型定义和治疗上的差异可能会影响预后表现,但我们观察到的RCB与患者残癌风险之间的关联表明,对RCB的前瞻性评估可以被认为是新辅助治疗后标准病理报告的一部分。
 
▌参考文献:
 
Yau,C.,Osdoit,M.,van der Noordaa,M.,Shad,S.,Wei,J.,de Croze,D.,Hamy,A.S.,Laé,M.,Reyal,F.,Sonke,G.S.,Steenbruggen,T.G.,van Seijen,M.,Wesseling,J.,Martín,M.,Del Monte-Millán,M.,López-Tarruella,S.,I-SPY 2 Trial Consortium,Boughey,J.C.,Goetz,M.P.,Hoskin,T.,…Symmans,W.F.(2022).Residual cancer burden after neoadjuvant chemotherapy and long-term survival outcomes in breast cancer:a multicentre pooled analysis of 5161 patients.The Lancet.Oncology,23(1),149–160.https://doi.org/10.1016/S1470-2045(21)00589-1
 
审批编号:CN-126258
过期日期:2024-12-08
声明:本材料由阿斯利康支持,仅供医疗卫生专业人士参考

 

 

 

本内容仅供医学专业人士参考


乳腺癌

分享到: 更多