杨田教授点评肝癌筛查新方法:一种使用数字PCR检测循环肿瘤DNA甲基化生物标志物丨ESMO热评

作者:肿瘤瞭望   日期:2024/10/21 14:28:25  浏览量:10360

肿瘤瞭望版权所有,谢绝任何形式转载,侵犯版权者必予法律追究。

《肿瘤瞭望》特邀海军军医大学第三附属医院杨田教授介绍和点评该研究如下。

编者按:肝癌是“沉默的杀手”,初诊时中晚期比例高。目前临床常用的甲胎蛋白(AFP)和超声等肝癌筛查手段,存在敏感性和特异性不能兼具的问题。因此,临床亟需开发更加高效、准确、经济的肝癌筛查的手段。在近日举行的2024年ESMO大会上,前任韩国外科学会主席、仁济大学海云台白医院Wang Hee-Jung教授等报道了一种基于数字PCR技术检测循环肿瘤DNA甲基化生物标志的新型方法,显示了积极的敏感性和特异性结果。《肿瘤瞭望》特邀海军军医大学第三附属医院杨田教授介绍和点评该研究如下。
 
研究简介

针对肝细胞癌筛查的循环肿瘤DNA甲基化生物标志物的新型数字PCR检测方法的开发与验证
 
背景:
 
肝细胞癌(HCC)是最常见的肝癌类型,也是2020年全球癌症相关死亡的第三大原因。然而,目前的肝细胞癌筛查手段,包括血清甲胎蛋白(AFP)和超声检查,仍受准确性较低的限制。本研究旨在发现和验证血液中的新型肝细胞癌特异性生物标志物。
 
方法:
 
为选择肝细胞癌特异性生物标志物,使用高通量公共数据库分析了来自肝细胞癌、正常组织和其他癌症的超过10 000个组织样本的DNA甲基化特征。通过数字PCR的多步骤生物标志物选择过程,确定了3个与肝细胞癌相关的CpG位点,并在癌细胞系、组织和血浆样本中验证了这些生物标志物。
 
 
结果:
 
首先,在来自肝癌、肺癌、前列腺癌、胃癌、乳腺癌和胰腺癌的多个癌细胞系中验证了三个CpG位点。值得注意的是,这三个生物标志物在肝癌细胞系中均显示出高度甲基化,表明它们对肝细胞癌具有高度特异性。
 
 
随后,在包括50个肝癌样本、4个结直肠癌样本、3个肺癌样本和3个胃癌样本的组织样本中测试了这些生物标志物。结果显示,其中两个生物标志物在肝细胞癌中显著高度甲基化,第三个则显示出肝脏组织特异性的甲基化模式。此外,还优化了一种使用这三个生物标志物的新型基于数字PCR的检测系统,称为HEPA eDX,并进行体外、组织和临床验证。
 
 
在体外验证中,SNU-387(肝癌细胞系)在2个生物标志物上高度甲基化,其他细胞系几乎没有观察到甲基化趋势,排除了AGS胃癌细胞系。HEPA eDX的结果与多种癌症细胞系的微阵列分析结果一致。
 
 
在组织验证中,生物标志物01和02在肝细胞癌肿瘤中的甲基化程度显著高于非肿瘤组织。生物标志物03在包括肿瘤和非肿瘤在内的肝脏组织中特异性甲基化,但与邻近的非肿瘤组织相比,在肝细胞癌肿瘤中的甲基化程度显著增加。在其他组织,包括肺、胃和结肠癌中,这些生物标志物几乎检测不到。
 
 
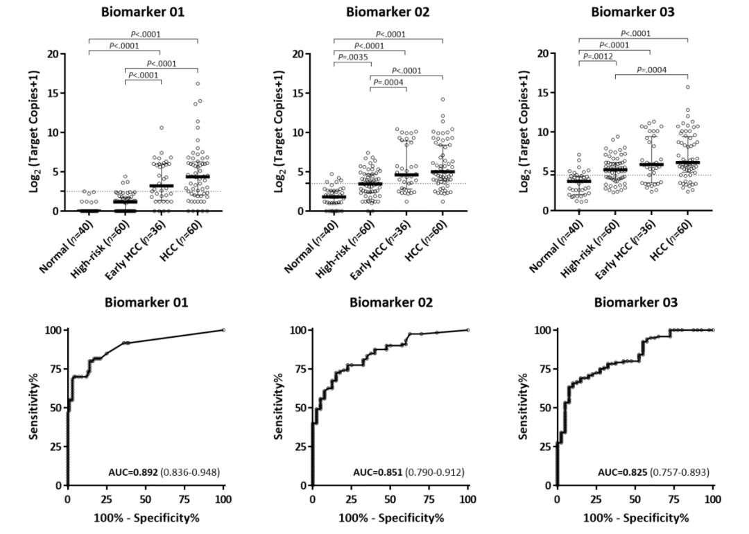
在临床验证中,纳入了来自健康个体对照(n=40)、肝癌高危人群(肝病患者,n=60)和肝细胞癌患者(n=60)的血浆样本,人群特征如下表所示。
 
 
3个生物标志物的临床表现在每组之间观察到显著差异,所有生物标志物在ROC分析中的AUC值均高于0.8。
 
 
通过结合3个生物标志物进行的HEPA eDX测试,其敏感性为77%,特异性为92%。结合AFP(甲胎蛋白)可以最大化提高检测效能,敏感性和特异性均达到92%。
 
 
结论:
 
HEPA eDX检测已显示出卓越的敏感性和特异性,可作为优于当前肝细胞癌筛查方法(如AFP)的潜在替代方法。
 
研究点评
 
这项研究在肝细胞癌早期诊断领域取得了一定的突破,为解决当前肝癌筛查手段准确性不足的问题提供了创新性解决方案。研究团队开发的HEPA eDX系统是一种基于数字PCR技术的新型检测方法,通过识别肝细胞癌特异性的循环肿瘤DNA甲基化生物标志物来实现早期诊断。研究通过分析超过10 000个组织样本,精确识别出3个与肝细胞癌高度相关的CpG位点,并在多个层面进行了严格验证。
 
HEPA eDX在细胞系、组织样本和临床血浆样本中均展现出优异性能,尤其在临床验证中达到77%的敏感性和92%的特异性。更值得注意的是,当与传统的甲胎蛋白(AFP)检测结合使用时,其诊断效能进一步提升,敏感性和特异性均达到92%,显著补充了AFP在诊断效能上的不足。这种高度精确的非侵入性检测方法不仅有望大幅提高肝癌的早期检出率,还为实现肝癌个体化精准医疗奠定了基础。此外,HEPA eDX系统在肝癌术后监测和复发预警方面也显示出潜在的应用价值。
 
总的来说,这项研究代表了肝癌诊断领域的一次重要飞跃,有望推动肝癌诊疗模式从被动等待向主动筛查转变,为提高肝癌患者的生存率和生活质量开辟了新的可能性,可能彻底改变现有的肝癌诊疗策略。
 
杨田教授
海军军医大学东方肝胆外科医院临床研究院副院长,肝外二科副主任
师从吴孟超院士、刘允怡院士,纽约西奈山医学院临床访问学者
国家杰出青年科学基金获得者(首届临床杰青)
中国科技卓越期刊iLIVER执行主编,View Medicine副主编,HBSN、HBPD Int、HPB、《中华外科杂志》、《中华消化外科杂志》等23本国内外专业期刊编委
第一/通讯(含共同)作者在JAMA Surg,Ann Surg,Gut,J Hepatol,Adv Mater等发表SCI论著和综述151篇,IF>10分32篇,ESI高被引/封面/刊首/配发社论16篇,总引用>6400次,H指数42,入选2024全球前2%顶尖科学家行列(全国外科学领域排名第3)
2022 HPB Surgery Week大会主席荣誉奖,2021 Liver Week国际科学家奖,2018 APPLE、2013 A-PHPBA青年科学家奖,2018、2024 IHPBA主会场最佳主旨报告奖
上海市优秀学术带头人、上海市卫生健康学科带头人、上海市曙光学者、上海市浦江人才、军队青年科技英才、上海市青年科技启明星、上海市青年医师最高荣誉奖“银蛇奖”
 
王明达教授
海军军医大学第三附属医院(上海东方肝胆外科医院)
肝外二科副主任医师、副教授,硕士生导师
中国医师协会肝胆青年专家工作组委员
中华医学会中华消化外科菁英会委员
上海市青年科技启明星
上海市“医苑新星”优秀青年医学人才
入选上海市青年科技英才扬帆计划
主持国自然基金面上、青年项目和省部级课题6项
长期从事原发性肝癌诊疗相关的基础和临床转化研究,第一/通讯作者在Hepatology,Int J Surg,Ann Surg Oncol等发表SCI论著30余篇,总IF>200分
HBPD INT,Transl Oncol,iLIVER,JCTH青年编委《中国普通外科杂志》《手术电子杂志》编委
授权国家发明专利2项,计算机软件著作权专利8项
 
更多精彩内容,
请扫码订阅“ESMO 2024”专栏

本内容仅供医学专业人士参考


肝癌

分享到: 更多