ESMO 2024丨HER2检测技术创新引领精准诊疗新篇章

作者:  程兰芳   日期:2024/10/10 11:16:24  浏览量:10272

肿瘤瞭望版权所有,谢绝任何形式转载,侵犯版权者必予法律追究。

HER2作为重要的生物标志物,在乳腺癌、卵巢癌等多种恶性肿瘤的治疗中发挥着关键作用。2024年欧洲肿瘤内科学会(ESMO)年会上,HER2检测领域的两项重要研究成果引发了广泛关注(摘要号:432P、349P)。这两项研究不仅深入探讨了HER2在转移性乳腺癌(MBC)治疗中的关键角色,还展示了新型定量检测方法的巨大潜力。通过精准检测HER2的表达水平,医生能够为患者提供更加个性化的治疗方案,从而提高治疗效果并改善患者的生活质量。本文将详细介绍这两项研究的背景和内容,探讨其在临床实践中的应用前景。

编者按:HER2作为重要的生物标志物,在乳腺癌、卵巢癌等多种恶性肿瘤的治疗中发挥着关键作用。2024年欧洲肿瘤内科学会(ESMO)年会上,HER2检测领域的两项重要研究成果引发了广泛关注(摘要号:432P、349P)。这两项研究不仅深入探讨了HER2在转移性乳腺癌(MBC)治疗中的关键角色,还展示了新型定量检测方法的巨大潜力。通过精准检测HER2的表达水平,医生能够为患者提供更加个性化的治疗方案,从而提高治疗效果并改善患者的生活质量。本文将详细介绍这两项研究的背景和内容,探讨其在临床实践中的应用前景。
 
432P——DESTINY-Breast04生物标志物分析[1]
 
研究背景
 
DESTINY-Breast04(NCT03734029)试验结果显示,与医师选择的治疗(TPC)相比,德曲妥珠单抗(T-DXd)在HER2低表达(IHC 1+或2+/ISH阴性)且激素受体阳性的转移性乳腺癌患者中改善了无进展生存期(PFS)和总生存期(OS)。本研究对DESTINY-Breast04中入组的HR+患者进行了探索性生物标志物分析。
 
研究方法
 
对387例患者的基线组织样本进行RNA测序转录组分析,对315例患者的样本进行多重免疫组化分析,以评估间质肿瘤浸润淋巴细胞(sTILs)。对414例患者的基线循环肿瘤DNA(ctDNA)样本使用Guardant OMNI平台检测HER2(ERBB2)激活突变,对235例患者检测BRCA1/2突变和/或同源重组修复(HRR)基因变异。研究了生物标志物状态与客观缓解率(ORR)或PFS之间的关系。

研究结果
 
总体而言,在生物标志物定义的人群中,T-DXd组的cORR高于TPC组,mPFS长于TPC组,这与意向性治疗(ITT)人群一致,并且在生物标志物可评估的人群之间,临床结局具有可比性。
 
HER2状态
 
无论HER2免疫组化(IHC)状态、HER2基因表达水平或HER2突变状态如何,均观察到T-DXd组相较于TPC组的临床获益,且基于这些HER2生物标志物的分析未显示出统计学上的显著交互作用(图1、图2)。
 
图1A显示,HER2基因表达水平较高的患者与较低的患者相比,其cORR改善趋势不显著,但在T-DXd组中这一趋势较为明显。图2B显示,HER2基因表达水平较高的患者与较低的患者相比,其PFS延长趋势不明显,但在T-DXd组中这一趋势较为明显。
 
图1.基线HER2相关生物标志物与(A)、cORR(B)和PFS风险比的相关性
 
图2.根据(A)HER2 IHC状态和(B)基线时HER2基因表达确定的PFS率
 
BRCA1/2和HRR基因状态改变
 
无论BRCA1/2或HRR基因是否发生改变,T-DXd组相较于TPC组的临床获益均保持不变,且基于这些生物标志物的分析未显示出统计学上的显著交互作用(图3A、图4)。
 
在两个治疗组中,与未检测到BRCA1/2或HRR基因改变的患者相比,观察到具有这些基因改变的患者有较短的PFS获益趋势。
 
图3.根据基线时(A)DNA修复和(B)G2/M检查点基因表达特征水平确定的PFS率
 
图4.根据基线时(A)BRCA1/2和(B)HRR基因改变状态确定的PFS率
 
肿瘤微环境状态
 
通过多色IHC分析测量的大多数免疫特征,我们观察到了T-DXd组相较于TPC组的临床获益(图5、图6)。
 
对于间质中总淋巴细胞水平较高的患者,我们观察到两个治疗组中与总淋巴细胞水平较低的患者相比,PFS有延长的趋势(图6)。这与在各免疫活性亚组中观察到的趋势一致(图5B)。
 
在大多数肿瘤和间质免疫标志物中观察到PFS延长的一致趋势(图5)。
 
图5.肿瘤微环境免疫特征与(A)cORR和(B)PFS风险比的相关性
 
图6.根据基线时基质总淋巴细胞水平确定的PFS率
 
研究结论
 
与TPC相比,T-DXd在所有分析的生物标志物亚组中均表现出有临床意义的PFS和ORR改善,包括HER2基因表达水平、BRCA1/2或HRR基因状态改变、DDR/细胞增殖基因特征状态以及免疫状态(sTILs)。本分析有一定局限性,包括某些生物标志物亚组的患者数量较少,以及循环肿瘤DNA组合测序在检测结构变异(BRCA1/2和HRR改变状态)方面的局限性。
 
394P-高灵敏度HER2定量标准化检测预测德曲妥珠单抗(T-DXd)在转移性乳腺癌中的疗效[2]

研究背景
 
T-DXd目前被批准用于治疗HER2阳性和HER2低表达的转移性乳腺癌(MBC)。然而,HER2的免疫组化(IHC)检测在这些患者群体中并不能可靠地预测疗效。我们评估了一种新的定量检测方法来预测T-DXd在MBC中的疗效。
 
研究方法
 
我们收集了2017年7月至2023年2月间,在丹娜-法伯癌症研究所(DFCI)接受T-DXd治疗的51例转移性乳腺癌(MBC)患者的样本(在接受治疗时其中32例为HER2阳性,19例为HER2阴性)。我们对20例患者(39.2%)的原发肿瘤、13例患者(25.5%)的转移灶、18例患者(35.3%)同时包含原发肿瘤和转移性的活检样本进行了分析。
 
表1.患者人口统计学和治疗特征
 
采用QuPath Qymia定量免疫荧光分子分区法测定HS-HER2。病理学家在每份活检样本中圈出了待测量的感兴趣区域(ROIs);然后,利用液相色谱-串联质谱法(LC-MS/MS)校准的细胞系标准曲线,以attomoles/mm2为单位,测量了T-DXd治疗前样本中的HER2蛋白含量。
 
在最接近T-DXd治疗前收集的样本中,我们评估了HS-HER2与至下一次治疗时间(TTNT)和总生存期(OS)之间的关联,评估方式包括连续变量分析和按HS-HER2四分位数分析。
 
研究结果
 
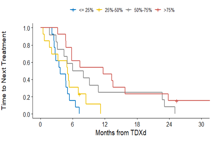
从51例患者的样本中分析了HS-HER2水平,组织采集至T-DXd治疗的中位时间为31.3个月(2.5~204个月)。在所有患者中,HS-HER2水平与TTNT(图1、表2,每5单位增量危险比<hr/>为0.78,P<0.001)和OS(图2,每5单位增量HR为0.79,P=0.002)均显著相关。
 
图1.按HS-HER2四分位数划分的T-DXd下一次治疗时间(TTNT)
 
表2.在所有接受T-DXd治疗的转移性乳腺癌患者(n=51)中,HS-HER2与TTNT的关系
 
图2.根据HS-HER2四分位数计算T-DXd患者的OS
 
此外,TTNT和HS-HER2四分位数之间存在显著相关性,随着HS-HER2四分位数的增加,中位TTNT有增加的趋势(P=0.002,表3)。
 
表3.HER2阳性(32例)和HER2阴性(19例)乳腺癌患者HS-HER2、TTNT与T-DXd的关系
 
HER2 IHC评分和HS-HER2值之间呈强正相关(r=0.77,P<0.001,图3)。
 
图3.在所有患者中,HER2 IHC评分和HS-HER2评分的关联强度
 
在HER2阳性MBC患者(每5个单位增量的TTNT HR为0.82,P=0.005)、HER2阴性MBC患者(每5个单位增量的TTNT HR为0.70,P=0.017)或未接受过sacituzumab govitecan治疗的患者(n=33,每5个单位增量的TTNT HR为0.77,P=0.002)中均观察到了一致的结果。
 
研究结论
 
HS-HER2的定量评估(以attomols/mm2为单位)被证明可以预测T-DXd在MBC中的临床疗效,包括在HER2阳性和HER2阴性MBC的亚组分析。
 
▌参考文献:
 
1、Naoto T.Ueno,et al.Exploratory biomarker analysis of trastuzumab deruxtecan versus treatment of physician’s choice in HER2-low,hormone receptor–positive metastatic breast cancer in DESTINY-Breast04.ESMO Congress 2024,Abstract 432P.
 
2、Paolo Tarantino,et al.Quantitative standardized high sensitivity(HS)-HER2 testing predicts outcomes with trastuzumab deruxtecan(T-DXd)for metastatic breast cancer(MBC).ESMO Congress 2024,Abstract 349P.
 
CN-20241008-00008
 
更多精彩内容,
请扫码订阅“ESMO 2024”专栏

本内容仅供医学专业人士参考


乳腺癌

分享到: 更多